标策网 知识分享 什么是速算扣除数?怎么计算出来的?

什么是速算扣除数?怎么计算出来的?

话不多说先看图,这是按月预扣预缴个人工资所得税的税率表,在最右边那一栏有一列“速算扣除数”,这是何方神圣呢?

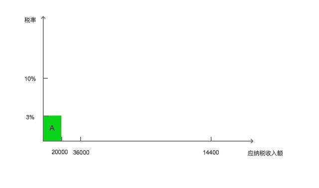
照例先来个例子: 小明月工资收入30000元,新税法在2019年1月1日开始实施后,可以进行生计费扣除、专项扣除、专项附加扣除以及其他扣除。假设小明在所有扣除以后剩下每月20000元需要纳税。 本文默认想了解“速算扣除数”都是已经清楚工资该怎么交税,不了解怎么扣除交税的小伙伴请转到此处: 你的工资怎么交税看这篇就够了 那么在2020年1月: 参照上表可以知道20000元,不超过36000元税率为3%,速算扣除数为0。 则1月纳税额=工资收入*适用税率-速算扣除数; 1月纳税额:20000*3%-0=600元。 画个图来表示就是:

1月应纳税额为A区域的面积

到了2月,如果一切不变,则到2月份总计有40000的工资收入需要交税 在2020年2月: 由于本次纳税的收入为40000元,除了36000元需要按照3%的税率交税,还有另外4000元也是需要纳税的,查表知道超过36000至144000元的部分适用税率为10%,速算扣除数为2520。 那么2月份的应纳税额该怎么计算呢,这里有两种方法: ① 不超过36000部分*3% + 超过36000部分*10% – 1月份已纳税额 不超过36000元的部分税率为3%,交税为: 360000*3%= 1080元 超过36000元部分为4000元,税率为10%,交税为: 4000*10%=400元 则最终2月份纳税额为:1080+400-600=880 ②总计应纳税收入*总计应纳税收入税率-速算扣除数-1月已纳税额 总计纳税收入为40000,查表知道税率为10%,速算扣除数为2520,一月已纳税额为600 则最终2月份纳税额为:40000*10%-2520-600=880 小伙伴们发现了吗,速算扣除数的用法就是方便计算纳税,不用想方法① 分段计算那么麻烦。 画个图来表示就是:

2月应纳税额为颜色部分面积

横轴代表应纳税收入额,纵轴代表税率 整块颜色就是40000*10%=4000元 A为36000*3%=1080元 B为4000*10%=400元 那么C = 整块颜色 – A – B =2520, 发现了吗,其实C就是代表速算扣除数。那么当我们计算2月需要纳税只要用整块颜色面积减去C就可以了,4000-2520 =1480;再减去一月份已纳税600元,则2月份的纳税额就是880元了。
版权声明:本文内容由互联网用户自发贡献,该文观点仅代表作者本人。本站仅提供信息存储空间服务,不拥有所有权,不承担相关法律责任。如发现本站有涉嫌抄袭侵权/违法违规的内容, 请发送邮件至 3099389@qq.com 举报,一经查实,本站将立刻删除。
返回顶部