速算扣除数是什么意思?怎么算税?

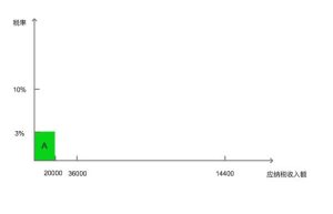
  话不多说先看图,这是按月预扣预缴个人工资所得税的税率表,在最右边那一栏有一列“速算扣除数”,这是何方神圣呢…

纳税证明是什么?怎么开具?需要哪些资料?

  去税局办有关缴纳税费事情的时候,工作人员有可能会让你出具纳税证明,证明你已经交过税了,那么什么是纳税证明你…

转增资本公积属于什么科目?如何做账务处理?

  向股东借款转增资本公积如何做账务处理?怎么做会计分录?这一实务操作知识的掌握,对财务人员工作很有帮助。接下…

责任准备金是什么意思?是资产还是负债?

     大家好,这里是你的精算助理小博。   “责任准备金”虽不影响保单效力,但对投保人来说至关重要!   …

商品入库怎么操作?会计分录该如何做?

  暂估入库这个知识点,应该很多人都接触过,那么对于暂估入库的相关会计分录怎么做你知道吗?如果不了解这部分内容…

结余资金怎么做账?和结转资金的区别是什么?

  结余资金可以理解为财政收入与支出相抵后的余额,也就是收入大于支出的部分。请问上缴结余资金怎么做账?   财…

账证核对包括哪些内容?核对的目的是什么?

  对账是指为了保证账簿记录的正确性而进行的有关账项的核对工作。主要包括:   (1)账证核对   它是指账簿…

亚马逊注册材料及注意事项

亚马逊注册需要哪些材料?注意事项是什么?

亚马逊作为全球最大的购物平台,很多卖家都想在亚马逊注册开店,但却不知道从何下手,亚马逊各地区需要的条件是有些区…

差额征税是什么意思?如何进行开票?

  关于“差额征税”的概念,很多人都是“只闻其名,不闻其详”。   今天小编就来和大家聊聊:什么是差额征税?差…

经营规模指的是什么?怎么填写呢?

  规模问题是家庭农场发展的首要问题,其他许多问题都由其衍生或与之相关。传统的家庭农场规模经营是指在当前生产力…

返回顶部

Warning: Trying to access array offset on value of type null in /www/wwwroot/www.biaocewang.com/wp-content/plugins/imwpf-dist/modules/wp/ThisPage.php on line 2

Warning: Trying to access array offset on value of type null in /www/wwwroot/www.biaocewang.com/wp-content/plugins/imwpf-dist/modules/wp/ThisPage.php on line 2

Warning: Trying to access array offset on value of type null in /www/wwwroot/www.biaocewang.com/wp-content/plugins/imwpf-dist/modules/wp/ThisPage.php on line 2