
2022年山东公务员行测备考干货之:巧记“平均数增长率”公式
许多小伙伴在备考时候会接触到资料分析很多公式,最容易记混的就是平均数增长率的公式r平=,因为它和两期平均数比较的公式 感觉有那么点相似又有那么些不同,那么该如何在考试当中正确使用公式呢?
第一,比较分母。平均数增长率公式是分母是1+b,基期平均数与两期比较公式分母是1+a,在记忆时,只要记住“平均数增长率分母有点特殊”这样就不容写错。
第二,比较分子。平均数增长率分子部分与两期比较相同都是a-b,与基期平均数分子1+b不同。
第三,比较其他部分。在背公式时记住平均数增长率没有的部分,这点是它与基期平均数和两期平均数比较公式最大的不同。

记住式子,接下来我们再看看公式怎么推来的。
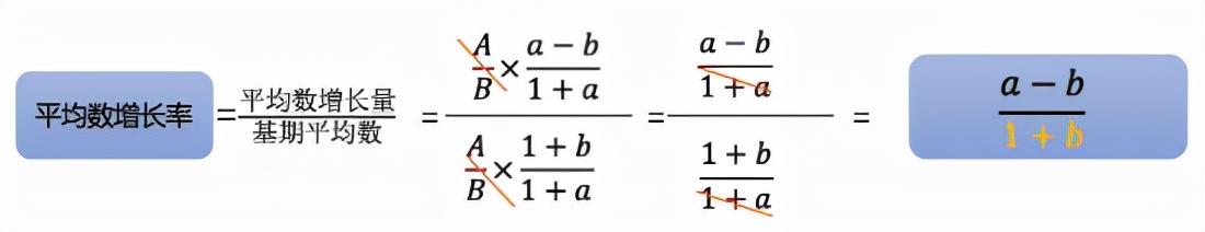
平均数增长率,它的本质还是求增长率的,既然是求增长率,那么就需要用到之前学过的增长率=公式。对于平均数来说,其实就是平均数增长率= ,而两期平均数比较是将现期平均数减去基期平均数,也就相当于平均数增长量,结合下图转化一下便有了我们平均数增长率的公式。

【真题演练】2014年,某区限额以上第三产业单位共674家,实现收入1059.1亿元,同比增长4.5%;实现利润总额13.5亿元,同比增长11.9%,从业人员达到58631人,同比下降4.3%。
2014年该区限额以上第三产业单位平均每名从业人员创造的利润比上年约:
A.下降7%
B.下降17%
C.上升7%
D.上升17%
【答案】D
【解析】第一步,根据“比上年上升/下降…%”可得此题要求增长率。再由前面“平均每名从业人员”可得此题跟平均数相关,所以本题考查平均数增长率计算。
第二步,定位文字材料,“2014年,某区限额以上第三产业单位……实现利润额13.5亿元,同比增长11.9%,从业人员达到58631人,同比下降4.3%”。

第三步,由r平=,可得该区限额以上第三产业单位平均每名从业人员创造的利润相比上年的增长率约为。
因此,选择D选项。
相信大家通过以上公式的推导、例题的讲解能够学会应用平均数增长率的公式啦!巧记“平均数增长率”公式!正确使用!快速得分!